열복사에 대한 Kirchhoff 법칙 (Kirchhoff’s Law of Thermal Radiation)
페이지 정보
작성자 관리자 조회265회 작성일 26-01-23 13:06본문
열복사에 대한 Kirchhoff 법칙 (Kirchhoff’s Law of Thermal Radiation)
방사율과 흡수율의 관계
에너지 보존 원리에서 유도된 Kirchhoff의 열복사 법칙에 따르면, 열적 평형 상태에 있는 물체는 주어진 파장과 온도에서 방사율(emissivity)과 흡수율(absorptivity)이 같다고 합니다. 그렇지 않으면 에너지 전달이 열역학 제2법칙을 위반하게 되기 때문입니다. 이 원리는 서로 다른 파장과 편광 상태에도 적용됩니다.
ϵ(λ,T)=α(λ,T)
이 원리는 적외선 복사를 잘 흡수하는 물질이 동시에 복사도 잘 한다는 것을 의미하며, 첫 번째 식은 다음과 같이 바꿀 수 있습니다.
ϵ+ρ+τ=1
실무적으로 Kirchhoff의 열복사 법칙은 정확한 적외선 열화상 측정을 위해 물질의 특성을 판단하는 데 도움이 됩니다. 방사율이 높은 표면은 대부분의 입사 복사를 흡수하면서 동시에 효과적으로 방사하므로, 열화상 측정에 이상적입니다. 반대로, 방사율이 낮고 반사율이 높은 표면은 복사 능력이 떨어지므로, 열 측정 시 보정이 필요합니다. 대부분의 물체는 적외선에서 투과성을 가지지 않으므로, 다음 식이 적용됩니다.
ϵ+ρ=1
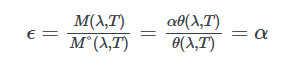
이를 증명하기 위해, 다음과 같은 사고 실험을 고려해 보겠습니다. 두 물체, A와 B가 있다고 가정합니다.
- 물체 A는 일반적인 재질로, 방사 능력 M(λ,T)과 흡수율 α를 가지고 있습니다.
- 물체 B는 완전 흑체(perfect black body)로, 방사 능력 M°(λ,T)를 가지며 모든 입사 복사를 흡수합니다.
단위 시간·단위 면적당 입사 복사 열량을 θ라고 표시합니다.
물체 A의 경우, 단위 시간·단위 면적당 흡수되는 열은 αθ이고, 방출되는 열은 방사 능력 M입니다. 시스템이 열적 평형 상태에 있고 온도가 일정하므로, 흡수된 열과 방출된 열은 같아야 하며, 이에 따라 다음 식이 성립합니다. M=αθ
물체 B, 즉 완전 흑체는 모든 입사 복사를 흡수하므로 흡수되는 열은 θ이고, 방출되는 열은 M°입니다. 열적 평형 상태에서는 다음 식이 성립합니다. M°=θ
이를 방사율로 표현하면, 물질의 방사율은 동일한 온도에서 완전 흑체에 대한 방사 능력의 비율로 정의됩니다. 이 결과를 대입하면 방사율과 흡수율이 같음을 확인할 수 있으며, Kirchhoff 법칙이 공식적으로 증명됩니다.
이 원리는 열적 평형 상태에 있는 모든 물체가, 에너지 보존을 보장하면서, 흡수하는 효율과 동일한 효율로 복사를 방출한다는 것을 보여줍니다.
이 원리는 적외선 온도 측정에서 매우 중요합니다. 왜냐하면, 물질이 복사하는 능력은 그 물질이 흡수하는 능력과 직접적으로 관련되기 때문입니다.
요약
- Kirchhoff 법칙: 열적 평형 상태에서 방사율 = 흡수율, 에너지 보존을 보장합니다.
- 대부분의 물질은 적외선을 투과하지 않으므로, 단순화된 식으로 반사율과 방사율의 합이 1이 됩니다.
출처
- Hecht, Eugene. Optik, Berlin, Boston: De Gruyter, 2018. https://doi.org/10.1515/9783110526653
- Miller, J. L., Friedman, E., Sanders-Reed, J. N., Schwertz, K., & McComas, B. (2020). Photonics rules of thumb (No. PUBDB-2021-03249). Bellingham, Washington: SPIE Press. https://doi.org/10.1117/3.2553485
- De Witt, Nutter: Theory and Practice of Radiation Thermometry, 1988, John Wiley & Son, New York, https://doi.org/10.1002/9780470172575
댓글목록
등록된 댓글이 없습니다.

