픽셀 크기와 빛 퍼짐이 열화상 카메라 정확도를 결정하는 이유 (Why Pixel Size and Diffraction Defi…
페이지 정보
작성자 관리자 조회277회 작성일 26-01-23 15:25본문
픽셀 크기와 빛 퍼짐이 열화상 카메라 정확도를 결정하는 이유
(Why Pixel Size and Diffraction Define Thermal Camera Accuracy)
광학 해상도는 온도 측정을 위한 핵심 사양으로, 측정 대상의 작은 영역을 얼마나 정확하게 구분할 수 있는지를 나타냅니다. 장치의 시야(Field of View)가 작을수록 측정 지점이 작아지고, 이에 따라 목표물의 광학 해상도가 높아집니다.
기술적으로 광학 해상도는 측정 장치의 광학계와, 열화상 카메라의 경우 센서 픽셀 크기, 광전자온도계(pyrometer)의 경우 검출기(detector) 크기와 관련이 있습니다. 이 두 요소가 결합되어 온도 측정에서의 광학 해상도를 결정하며, 이 정의에는 렌즈의 구면 수차(spherical aberration)와 색수차(chromatic aberration), 검출기 유효 면적, 광학계 내부 산란까지 모두 포함됩니다.
광학계와 검출기 시스템의 여러 상호 연관 요소들은 모든 광학 센서의 해상도를 근본적으로 제한합니다. 주요 제한 요인은 파장에 의해 발생하는 빛 퍼짐(회절), 렌즈 품질, 검출기 크기이며, 이 세 가지가 적외선 센서의 최종 광학 해상도를 결정합니다.
렌즈 품질과 설계는 시스템이 적외선 방사선을 얼마나 정확하게 검출기에 집중(focus)시킬 수 있는지를 결정합니다. 광학 수차, 회절, 불완전한 초점은 시스템이 작은 세부 사항을 구분하는 능력을 떨어뜨리며, 특히 먼 거리 측정 시 그 영향이 큽니다.
검출기는 일반적으로 단일 지점에서 방사선을 측정합니다. 검출기가 작을수록 더 작은 지점을 구분할 수 있지만, 이는 광학계가 그 작은 지점을 투영할 수 있을 때만 가능합니다. 최종적으로 이 한계는 회절에 의해 결정됩니다.
적외선이 렌즈를 통과할 때, 이상적인 점이 아니라 회절 한계(diffration-limited) 점, 즉 에어리 디스크(Airy disk)를 형성합니다. 점 확산 함수(point spread function)는 이미지 평면에서 이런 퍼진 강도 분포를 나타냅니다. 그림 1은 회절로 인해 점 광원이 퍼지면서 에너지가 인접 픽셀로 분산되는 모습을 보여줍니다.
레이리(Rayleigh) 기준에 따르면, 두 점 광원은 한 에어리 디스크의 최대값이 다른 디스크의 첫 번째 최소값과 일치할 때 구분 가능합니다. 최소 구분 가능한 특징 크기 Δl_min은 다음과 같이 정의됩니다. 여기서 λ는 적외선 파장, f는 렌즈 초점거리, D는 렌즈 직경입니다. 이 값은 또한 에어리 디스크의 반경을 정의합니다.
시스템의 광학 해상도는 Δl_min의 역수로 정의됩니다. 이 회절 한계는 센서 크기나 픽셀 크기와 관계없이 최종 해상도를 결정합니다. 렌즈 구멍 직경 D는 회절 한계를 결정하는 중요한 요소로, 작은 구멍일수록 에어리 디스크가 커지고 공간 해상도는 낮아집니다.
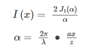
에어리 디스크 강도 분포는 다음과 같이 나타낼 수 있습니다.
여기서 J1은 1차 베셀 함수, a는 구멍 반경, z는 구멍에서 이미지 평면까지 거리입니다. 이는 표준화된(normalized) 에어리 디스크 프로파일로, 중심 최대 강도를 1로 정의합니다.
회절로 인해 최소 구분 가능한 측정 지점 크기는 사용된 적외선 파장에 비례합니다. 긴 파장(예: 8–14 µm)은 짧은 파장(예: 1–2 µm)에 비해 더 큰 회절 한계 지점을 가지므로, 단파장 IR 영역에서 동작하는 적외선 센서는 본질적으로 더 높은 광학 해상도를 제공합니다.
계산 조건: 구멍 직경 10 mm, 이미지 평면 거리 15 mm, 초점거리 15 mm.
검출기 요소가 파장보다 훨씬 크면 광학 해상도는 주로 검출기 크기에 의해 결정됩니다. 그러나 검출기 크기가 측정되는 파장과 비슷해지면 회절이 영향을 미치고 광학적 한계를 만듭니다. 광전자온도계가 단일 검출기로 적외선 방사선을 측정하는 것과 달리, 적외선 카메라는 2차원 포컬 평면 어레이를 사용하여 열 이미지를 캡처합니다. 이 어레이의 픽셀 크기는 적외선 파장과 비슷해, 달성 가능한 공간 해상도를 제한하는 기본 회절 한계를 발생시킵니다.
이론적으로 계산한 값에서 측정 시야(MFOV, Measurement Field of View)라는 개념이 도출됩니다. 순간 시야(IFOV, Instantaneous Field of View)는 완벽한 광학 조건에서 주어진 거리에서 카메라가 이론적으로 구분할 수 있는 최소 공간 디테일을 정의하며, 최소 시야(MFOV)는 정확한 온도 측정을 위해 정의된 픽셀 수로 덮어야 하는 목표물 크기를 의미합니다.
다음 그림들은 같은 광학계에서 픽셀 수가 많다고 해서 이미지 품질이 반드시 향상되지 않는다는 것을 보여줍니다. 적외선 에너지가 영역 전체에 분산되기 때문에, 작은 픽셀 크기의 경우 정확한 온도 측정을 위해 더 많은 픽셀을 고려해야 합니다. 픽셀이 에어리 디스크보다 크면, 단일 픽셀만 측정해도 충분합니다.




그림 3.적외선 열화상 시스템에서 서로 다른 검출기 픽셀 크기에 따른 3D 에어리 디스크 강도 프로파일 시뮬레이션.
4개의 서브그림은 각각 8 µm, 12 µm, 17 µm, 34 µm 픽셀 크기를 나타냅니다.
정규화된 강도가 이미지 평면상의 공간 위치에 대해 표시됩니다.
큰 픽셀 크기에서는 단일 검출기만 고려하면 충분하지만, 작은 픽셀 크기에서는 정확한 온도 측정을 위해 여러 픽셀을 고려해야 합니다.
적외선 온도계에서 거리 대비 측정 지점 크기 비율은 일반적으로 충분히 큰 흑체와 비교해 방사 신호가 10% 감소하는 흑체 직경으로 정의됩니다. 적외선 카메라에서는 총 에너지의 90%가 포함되는 이미지 크기를 사용해 유효 측정 시야(MFOV)를 정의할 수 있습니다. 이미지 크기가 90% 에너지 직경보다 작으면 픽셀당 수집 에너지가 크게 줄어, 픽셀 기반 강도 측정을 사용하는 카메라는 실제 온도를 과소평가하게 됩니다. 그림 4와 표 1은 실험 데이터를 보여줍니다.
실험 조건: 흑체 온도 100 °C, 약 10% 에너지 감소 시 온도 편차 약 7.2 °C. 편차는 픽셀 크기가 작은 카메라에서 가장 큽니다. 작은 객체 특징은 여전히 감지 가능하지만, 정확한 온도 측정을 위한 최소 신뢰 가능한 특징 크기는 픽셀 크기보다 광학 회절 한계에 의해 주로 결정됩니다.
| Pitch [µm] | Image size at 90% encircled energy [µm] | Pixels required for accurate intensity measurement |
| 34 | 47.85 | 2 |
| 17 | 44.24 | 3 |
| 12 | 42.08 | 4 |
이 실험 데이터는 픽셀 피치가 작은 초점면 배열(FPA)을 사용하는 적외선 카메라의 경우, 정확한 복사 강도 또는 온도 측정을 위해 더 많은 픽셀을 고려해야 함을 보여준다.
그림 4.포컬 평면 어레이에서 초점 이미지 크기와 관련된 에너지 분포.
구멍 직경이 작아지면 단일 픽셀이 전체 에너지를 받지 못합니다.
중심 픽셀은 이미지 크기가 작아질수록 받는 에너지가 줄고, 회절 한계로 인해 점 확산 함수가 포컬 평면 어레이의 여러 픽셀에 걸쳐 퍼집니다(검은 선 표시).
정리하면, 광학계의 회절 한계는 픽셀 수가 많거나 픽셀 크기가 작더라도 광학 해상도와 이미지 품질의 근본적인 제한 요소입니다. 각 픽셀 크기가 이미 측정 파장과 비슷하기 때문에, 광학계 해상도는 제한됩니다.
장파장 적외선(LWIR) 영역에서 픽셀 크기 17 µm를 사용할 경우, 목표물은 최소 3픽셀(3×IFOV)을 차지해야 총 방사 에너지의 90%가 포함되고 거리 비율이 안정적으로 정의됩니다. 픽셀 크기가 12 µm보다 작으면, 정확한 온도 측정을 위해 더 많은 픽셀을 고려해야 합니다. 저품질 광학계에서는 상황에 따라 10×10픽셀까지 필요할 수 있습니다. 고성능 렌즈를 사용하면 같은 픽셀 수로 더 먼 거리 측정이나 작은 구조의 정확한 온도 측정이 가능합니다.
현미경용 아베(Abbe) 한계
현미경 또는 고배율 적외선 이미징에서 해상도는 종종 아베 한계(Abbe limit)로 표현됩니다. 이 접근법은 광학계에 들어오거나 나가는 빛의 각도 범위를 측정하는 수치조리개(Numerical Aperture, NA) 개념을 사용합니다. 특히 현미경 응용에서는 아베 해상도 한계를 자주 참조합니다. 아베 정의는 이전 식과 매우 유사하지만, f-수 대신 NA와 매질 굴절률 n을 사용하여 구분 가능한 최소 객체 크기 d를 계산합니다.
요약
- 광학 해상도는 열화상 카메라나 적외선온도계가 얼마나 작은 물체를 정확하게 측정할 수 있는지를 결정합니다.
- 더 큰 렌즈를 사용하거나 짧은 파장을 이용하면 높은 해상도를 얻을 수 있지만, 회절은 항상 한계를 설정합니다.
- 파장, 렌즈 품질, 검출기(픽셀) 크기에 의해 발생하는 회절이 적외선 센서의 광학 해상도를 종합적으로 제한합니다.
- 열화상 카메라에서 정확한 온도를 측정하려면, 측정 대상이 여러 픽셀을 차지해야 하며 — 일반적으로 최소 3× IFOV(순간 시야) 이상이 필요하고, 광학계 품질이 낮을 경우 더 많은 픽셀을 차지해야 합니다. 이것이 측정 시야(MFOV, Measurement Field of View)를 정의합니다.
출처
- Rogalski A, Martyniuk P, Kopytko M. Challenges of small-pixel infrared detectors: a review. Rep Prog Phys. 2016 Apr;79(4):046501. doi: 10.1088/0034-4885/79/4/046501. Epub 2016 Mar 23. PMID: 27007242. https://doi.org/10.1088/0034-4885/79/4/046501
- Dieter Lohrmann, Roy T. Littleton, Colin E. Reese, Dan Murphy, and Jay N. Vizgaitis “Uncooled long-wave infrared small pixel focal plane array and system challenges,” Optical Engineering 52(6), 061305 (31 January 2013). https://doi.org/10.1117/1.OE.52.6.061305
- Christel-Loic Tisse, Jean-Luc Tissot, and Arnaud Crastes “An information-theoretic perspective on the challenges and advances in the race toward 12μm pixel pitch megapixel uncooled infrared imaging”, Proc. SPIE 8353, Infrared Technology and Applications XXXVIII, 83531M (31 May 2012); https://doi.org/10.1117/12.918534
- Norbert Schuster, John Franks: Challenges, constraints and results of lens design in 8-12 micron waveband for bolometer-FPAs having a pixel pitch of 12micron, Proc. SPIE, Vol. 8704-132 (2013) https://doi.org/10.1117/12.2021637
- Marc Guillaumont et al: Recent thermoresistive material evolutions at LYNRED for improving uncooled microbolometer products thermal sensitivity, Proc. SPIE 12107, Infrared Technology and Applications XLVIII, 1210716 (27 May 2022); https://doi.org/10.1117/12.2618494
- Sébastien Cortial et al: Status of 8.5μm pitch bolometer developments at Lynred, Proc. SPIE 12534, Infrared Technology and Applications XLIX, 125341A (13 June 2023); https://doi.org/10.1117/12.2663455
댓글목록
등록된 댓글이 없습니다.

