NETD – 열 감도 (NETD – Thermal Sensitivity)
페이지 정보
작성자 관리자 조회282회 작성일 26-01-23 13:19본문
NETD – 열 감도 (NETD – Thermal Sensitivity)
정의, 물리적 의미 및 영향을 주는 요인
NETD(Noise Equivalent Temperature Difference, 잡음 등가 온도 차이)는 열화상 카메라나 파이로미터가 구별할 수 있는 가장 작은 온도 차이로 정의됩니다. 다시 말해, NETD는 적외선 카메라나 파이로미터의 열 감도를 나타내며, 시스템이 내부 잡음 수준보다 얼마나 작은 온도 대비를 감지할 수 있는지를 정량화합니다.
엔지니어들은 때때로 NETD를 전체 측정 불확실성과 혼동할 수 있습니다. 그러나 NETD는 온도 측정의 전체 “불확실성”을 나타내는 것이 아닙니다. 오히려 NETD는 온도 측정에 영향을 주는 무작위 잡음의 기여도를 나타냅니다. 마찬가지로, NETD는 수 분간의 드리프트나 안정성을 평가하는 데 사용되어서는 안 됩니다.
NETD는 절대 오차, 편향, 드리프트를 포함한 전체 반복성과 동일하지 않습니다. 또한 공간 해상도와 목표 인식 기준을 포함하는 최소 검출 온도 차이(MRTD)나, 픽셀 간 불균일성을 나타내는 IETD(비균질성)와도 다릅니다. NETD는 균일한 표적에서 프레임마다 측정값이 얼마나 변동하는지에 대한 정보만 제공합니다.
형식적으로, NETD는 고주파 시간적 잡음으로 인한 측정 불확실성의 일부로 정의됩니다. 이는 열화상 카메라에서 신호 대 잡음비(SNR)가 1이 되는 흑체의 온도 차이로 정의됩니다. 개별 검출기 요소의 경우, NETD는 68.3% 신뢰수준(커버리지 계수 k=1) 기준 표준 불확실성으로 보고됩니다. NETD에는 이미지 평균의 느린 드리프트가 포함되지 않으며, 이러한 성분은 테스트 중 제거해야 합니다.
열화상 카메라 및 파이로미터의 NETD 측정 (표준화된 방법, VDI/VDE 5585 기준)
수학적으로 NETD는 균일한 조명 상태에서 열화상 또는 파이로미터 카메라의 시간적 잡음을 측정하여 얻을 수 있습니다. 실제로는 측정값을 히스토그램으로 모으고, 히스토그램의 표준편차를 통해 정규 분포 여부를 확인합니다. 파이로미터는 단일 시간 시계열을 분석하고, 열화상 카메라는 각 픽셀별로 측정을 고려해야 합니다.
그림 1. 32 Hz로 샘플링한 30°C 안정 표적의 60초 측정 예시 시계열 및 히스토그램
잡음은 NETD ≈ 100 mK와 일치하며, 히스토그램 중심은 0 mK(빨강), 점선은 샘플 ±1σ 범위와 지정된 ±3σ 한계를 나타냄; 대부분의 샘플은 ±3σ 내에 있음. NETD는 1σ 값으로 정의됨
독일 기술 지침 VDI/VDE 5585 Blatt 1 (2018)은 NETD를 정의하고, 열화상 카메라로 측정하는 방법을 규정하고 있습니다. VDI 5585-1은 카메라 설계가 다른 경우를 고려하여 두 가지 표준 NETD 측정 방법을 제공합니다. 두 방법 모두 카메라가 이미 비균일성 보정이 되어 있어야 하고, 흑체가 매우 안정적이어야 한다고 가정합니다.
방법 A (프레임별 표준편차) : 열화상 카메라가 안정적이고 균일한 흑체를 관찰합니다. 원하는 적분 시간과 프레임 속도로 최소 100개의 연속 프레임을 기록합니다. 각 픽셀에 대해 온도 신호의 시간적 표준편차를 계산합니다. NETD는 이러한 픽셀별 표준편차의 평균으로 정의됩니다. 이 과정은 시간에 따른 픽셀값 히스토그램을 그려 RMS 폭을 구하는 것과 동등합니다.
각 픽셀의 표준편차는 다음과 같이 계산됩니다(N>100, Ti는 각 데이터 포인트의 온도값). 전체 NETD는 픽셀별 NETD를 매트릭스로 표현한 후 평균을 취합니다.
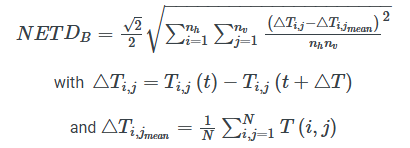
방법 B (두 프레임 차분) : 이 방법은 카메라가 처리된 온도 프레임만 제공하거나, 많은 프레임을 얻기 어려운 경우에 사용됩니다. 카메라는 동일 조건에서 연속된 두 이미지를 촬영하고, 두 이미지의 픽셀별 차이를 계산합니다. NETD는 이 차이를 사용하여 계산됩니다.
수평 픽셀 수 nh, 수직 픽셀 수 nv 기준, 평균 NETD는 다음과 같이 계산됩니다.
이 방법은 픽셀 차분의 표준편차를 √2 계수와 함께 계산한 것으로, 두 개의 동일 이미지 차분이 잡음만 남기 때문에, 전체 NETD를 제공하며, per-pixel 시간 시계열이 없는 경우 VDI 5585에서 대안으로 정의됩니다.
NETD에 영향을 주는 요인
NETD는 열화상 카메라나 파이로미터의 절대 고정 특성이 아니라, 테스트 조건과 카메라 설정에 크게 좌우됩니다. 주요 요인은 다음과 같습니다.
- 장면 온도: 다른 조건이 같으면 NETD는 장면 온도가 높을수록 낮아집니다. 적외선 센서는 복사도에 반응하므로, NETD는 소스의 복사 온도에 따라 달라집니다. 흑체의 온도 변화에 따른 열 복사 기울기(dR/dT)는 온도가 높을수록 큽니다. 따라서 같은 전압 잡음이라도 100°C 표적은 25°C 표적보다 온도 1°C 당 더 큰 신호 변화를 줍니다.
- 적분 시간 및 프레임 속도: 프레임당 적분 시간은 수집되는 신호 양을 결정합니다. 적분 시간이 길수록 신호가 증가하고 읽기 잡음 영향이 줄어 NETD가 낮아집니다. 실제로 적분 시간을 두 배로 늘리면, 다른 잡음이 지배적이 되기 전까지 NETD는 √2 정도 감소합니다.
그림 2. Optris PI 640i, 32 Hz와 125 Hz, 평균 NETD≈41.2 mK(32 Hz) 및 ≈42.0 mK(125 Hz), 프레임 속도 의존성 거의 없음
- 광학계: 렌즈와 광학계는 검출기에 도달하는 적외선 에너지 양을 제어합니다. F값이 작은 빠른 렌즈는 빛을 더 많이 받아 NETD를 낮춥니다. F값이 큰 느린 렌즈는 NETD를 높입니다. NETD는 대략 F값에 비례합니다.
- 검출기 온도 및 카메라 안정화: 냉각되지 않은 마이크로볼로미터의 경우, 센서 온도는 주변 온도나 자체 발열에 따라 변동합니다. 센서 작동 온도가 상승하면 dark noise가 증가하고 NETD가 악화됩니다.
- 신호 처리: 원시 검출기 잡음은 프레임 평균, 필터링, 불량 픽셀 대체 등의 온칩 또는 후처리로 줄일 수 있습니다. NETD 보고 시 시간적 평균 처리 여부를 명시해야 합니다. 제조사는 종종 디지털 평균화를 사용하여 유효 NETD를 √N 배 개선합니다.
그림 3. Optris PI 640i, 9 Hz, 32 Hz, 125 Hz, 평균 NETD≈12.5, 22.0, 42.0 mK, 처리된 평균화에 따라 NETD가 달라짐
VDI/VDE 5585는 NETD 측정과 보고 방법을 규정하며, 장면 복사 온도, 측정 시간(프레임 속도/적분 시간), 이미지 평균 여부 등을 반드시 명시해야 합니다. 교환 가능한 렌즈나 필터가 있는 시스템은 사용된 정확한 렌즈와 필터를 기록해야 합니다. 측정 온도 범위를 전환할 수 있는 카메라는 사용된 범위를 표시해야 합니다. 이러한 파라미터를 제공하면 재현 가능한 테스트와 동등 비교가 가능합니다.
NETD와 이미지 품질
이미지 측면에서, NETD가 낮으면 작은 열 특성의 대비(가시성)가 높아집니다. NETD가 높으면 미세 온도 변화를 구분하기 어려워 이미지가 더 거칠게 보입니다. 결함 탐지, 의료 열화상, 목표 식별과 같은 응용에서는 낮은 NETD가 일반적으로 더 나은 성능을 의미합니다.
예를 들어, NETD=50 mK 카메라는 두 개의 비슷한 물체 간 0.05 K 차이를 구별할 수 있지만, NETD=100 mK 카메라는 같은 SNR을 위해 0.1 K 차이가 필요합니다. NETD는 프레임 간 무작위 시간적 잡음을 의미하며, 배열 전체의 공간적 불균일성과는 관련이 없습니다. VDI 5585는 NETD를 고주파 시간 잡음으로 인한 불확실성 기여도로 명확히 정의합니다.
즉, NETD는 시간에 따른 이미지의 무작위 “입자(grain)”입니다. 반대로 드리프트나 편향 불안정성은 오프셋 또는 이득의 느린 변화를 의미하며, NETD에는 포함되지 않습니다. 드리프트는 저주파 효과로 별도의 성능 파라미터로 취급됩니다.




그림 4. 서로 다른 NETD를 시뮬레이션하기 위해 열 잡음을 추가한 적외선 이미지입니다.
균일한 배경에서 잡음이 점점 더 두드러지지만, 얼굴의 특징은 NETD가 높아도 여전히 잘 보입니다.
매우 높은 잡음 수준에서만 얼굴의 세부가 식별하기 어려워집니다.


그림 5. 서로 다른 NETD를 시뮬레이션하기 위해 열 잡음을 추가한 적외선 이미지입니다.
균일한 배경에서 잡음이 점점 더 두드러지지만, 얼굴의 특징은 NETD가 높아도 여전히 잘 보입니다.
요약
- NETD는 열화상 카메라나 피로미터가 감지할 수 있는 최소 온도 차이를 나타내며, 시간에 따른 랜덤 잡음을 반영합니다. 일반적으로 균일한 흑체에서 SNR=1일 때 1σ 값으로 정의됩니다.
- NETD는 전체 측정 불확도, 편향(bias), 드리프트/안정성, 수 분 동안의 반복성, 최소 검출 온도 차이(MRTD), 또는 비균일도(non-uniformity)를 나타내지 않습니다.
- 장면 방사 온도, 통합 시간/프레임 속도, 렌즈 f-수(f-number), 검출기 온도/안정화 상태, 그리고 시간 평균이나 필터링 여부가 NETD에 영향을 줍니다.
- NETD가 낮으면 더 세밀한 열 대비를 관찰할 수 있으며, NETD가 높으면 이미지가 더 노이즈가 많게 나타납니다.
출처
- VDI/VDE-Gesellschaft Mess- und Automatisierungstechnik (GMA), VDI/VDE 5585, Blatt 1: Technische Temperaturmessung – Temperaturmessung mit Thermografiekameras – Messtechnische Charakterisierung (German/English edition). Düsseldorf, Germany: Verein Deutscher Ingenieure e.V., Mar. 2018.
- Hecht, Eugene. Optik, Berlin, Boston: De Gruyter, 2018. https://doi.org/10.1515/9783110526653
- De Witt, Nutter: Theory and Practice of Radiation Thermometry, 1988, John Wiley & Son, New York. https://doi.org/10.1002/9780470172575
댓글목록
등록된 댓글이 없습니다.

