적외선 복사와 온도 (Infrared Radiation and Temperature)
페이지 정보
작성자 관리자 조회216회 작성일 26-01-23 11:13본문
적외선 복사와 온도 Infrared Radiation and
Temperature
플랑크 법칙: 흑체의 열복사 설명
절대 영도 이상에서는 모든 물체가 적외선 복사를 방출합니다. 물체의 온도가 높아질수록 방출되는 에너지의 강도가 증가하며, 이를 분석하면 적외선을 이용해 온도를 측정할 수 있습니다. 플랑크 복사 법칙은 비접촉식 온도 측정의 기본 원리를 제시하며, 절대 영도(-273.15°C, 0 K)보다 높은 모든 물체가 전자기 복사를 방출한다는 사실을 보여줍니다.
이때 흑체—모든 파장에서 복사를 완벽하게 흡수하고 방출하는 이상적인 물체—의 경우, 온도가 높아질수록 적외선 방출 강도가 증가하므로, 방출되는 적외선 에너지를 분석해 물체의 온도를 결정할 수 있습니다. 플랑크 법칙은 또한 물체의 온도가 높을수록 모든 파장에서 방출 복사가 기하급수적으로 증가한다는 것을 알려줍니다.
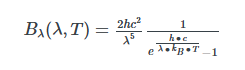
파장 λ에서 단위 면적, 단위 입체각, 단위 주파수당 스펙트럼 복사출력(분광 복사강도)은 다음과 같이 표현됩니다. 여기서 c는 빛의 속도, h는 플랑크 상수, k는 볼츠만 상수입니다.
플랑크 법칙은 다양한 형태로 나타낼 수 있으며, 스펙트럼 에너지 밀도 uλ(λ,T)로도 표현 가능합니다.
위 식에서 등장하는 2hc2 는 물리 상수로 이루어져 있으며, 각각
첫 번째 복사 상수 c1=3.74⋅10−16 W/m² 두
번째 복사 상수 c2=1.44⋅10−2 K 로
불립니다.
플랑크 법칙에서 Bλ(λ,T) 와 Mλ∘(λ,T)는 흑체 복사의 서로 다른 측면을 설명합니다.
Bλ(λ,T) : 분광 복사강도, 단위 파장·단위 입체각당 방출 복사 강도를 나타내며, W·m⁻²·µm⁻¹·sr⁻¹로 측정되어 특정 방향의 복사량을 의미합니다.
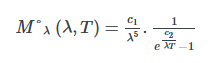
Mλ∘(λ,T) : 분광 방출량, 단위 면적·단위 파장당 총 방출 복사를 나타내며, 모든 방향에 대해 적분된 값입니다. 단위는 W·m⁻²·µm⁻¹입니다.
두 값의 관계는 다음과 같습니다.
M°λ(λ,T)=π.Bλ(λ,T)
이를 통해 플랑크 법칙은 흑체가 온도와 파장에 따라 반공간으로 방출하는 분광 방출량으로 표현할 수 있습니다.
이 공식들은 매우 추상적이어서 실제 적용에는 직접 사용하기 어렵지만, 물리적 현상을 이해하는 데 중요한 근거를 제공합니다. 방출되는 적외선 에너지는 물체 온도가 높아질수록 증가하며, 최대 방출 파장은 짧은 쪽으로 이동합니다. 온도가 올라갈수록 스펙트럼에서 방출 최대치가 짧은 파장으로 이동하며, 적외선 방출량이 증가해 열로 느껴지고, 가시광선 방출도 발생하여 몸체가 붉게 빛나게 됩니다. 온도가 더 높으면 노란색 또는 청백색으로 빛나며, 짧은 파장의 방사도 상당히 방출됩니다.
실온(~300 K)에서는 물체가 주로 적외선 영역에서 열복사를 방출하며, 사람 눈에는 보이지 않습니다. 최대 방출 파장은 약 10–14 µm로, 대부분의 열화상 카메라는 이 범위에서 온도를 측정합니다. 그러나 플랑크 법칙에 따르면, 물체 온도가 높을수록 모든 파장에서 방출 복사가 증가합니다.
단위 투영 면적, 단위 입체각, 단위 파장당 방출되는 표면 복사량은 방출 방향에 관계없이 등방적이며, 램버트 코사인 법칙에 따라 투영 면적과 방출 각도 코사인에 비례합니다. 방출 복사는 편광되지 않은 상태입니다.
아래 그림 1은 서로 다른 온도에서 파장에 따른 방출 스펙트럼을 그래프로 보여줍니다.
그림1. 적외선 복사 강도는 온도가 증가함에 따라 기하급수적으로 증가하며, 방출 최대 파장은 더 짧은 쪽으로 이동한다.
식 1을 변형하면, 특정 좁은 파장의 스펙트럼 강도에서 블랙바디 온도를 구하는 식은 다음과 같다:
요약
- 절대 영도(-273.15°C 또는 0 K) 이상의 모든 물체는 적외선을 방출한다.
- 온도가 증가하면, 모든 파장에서 방출되는 복사 에너지가 지수적으로 증가한다.
- 블랙바디(이상적인 방사체)는 온도가 상승함에 따라 더 많은 복사를 방출한다.
- 실온(~300 K)에서는 대부분의 방출 복사가 10–14 µm 범위에 속하며, 이 때문에 많은 열화상 카메라가 이 스펙트럼 범위에서 작동한다.
출처
- Hecht, Eugene. Optik, Berlin, Boston: De Gruyter, 2018. https://doi.org/10.1515/9783110526653
- Miller, J. L., Friedman, E., Sanders-Reed, J. N., Schwertz, K., & McComas, B. (2020). Photonics rules of thumb (No. PUBDB-2021-03249). Bellingham, Washington: SPIE Press. https://doi.org/10.1117/3.2553485
- De Witt, Nutter: Theory and Practice of Radiation Thermometry, 1988, John Wiley & Son, New York, https://doi.org/10.1002/9780470172575
댓글목록
등록된 댓글이 없습니다.

